Hranice v prostředí hazardního hraní: dopady na společnost a její rizikové skupiny
Projekt: GA ČR (č. 25-15267S)
Doba řešení: 01/2025 až 12/2027
Hlavní příjemce a řešitel: Katedra geografie (Přírodovědecká fakulta UP); doc. Mgr. David Fiedor, Ph.D.
Obsah
Představení projektu ♠ Projektový tým ♥ Klíčové prvky projektu ♦ Výsledky výzkumu ♣ Konference ♥ Publikace a data
Představení projektu
Hazardní hraní významně ovlivňuje mnoho aspektů společenské reality. I proto jde o problematiku, která je dlouhodobě součástí předmětového zaměření různých vědních oborů. Dosavadní výzkum se ovšem selektivně zaměřoval na jednotlivé prvky hazardního hraní. Předkládaný projekt proto usiluje o komplexnější přístup k výzkumu hazardních her. Zaměřuje se na přístupy k regulaci, která je vždy ovlivňována správními hranicemi, a zároveň ovlivňuje prostředí hazardního hraní. Hlavním cílem projektu je identifikovat faktory ovlivňující různou míru dostupnosti hazardních her v prostoru v kontextu nedávných legislativních změn a posoudit význam jejich dostupnosti při rozvoji problémového hráčství u potenciálně více ohrožených skupin obyvatelstva. Závěry jednak přispějí k teoretickému obohacení stavu současného poznání o proměnách hazardních her v postkomunistických státech, jednak budou představovat implikace pro utváření státních a regionálních politik řídících hazard.
Výzkum byl schválen etickou komisí Filozofické fakulty UP (dne 15. 5. 2025; č. 03/2025)
Projektový tým:
Klíčové prvky projektu
Interdisciplinarita: v rámci projektu jsme uplatnili interdisciplinární přístup ke studiu hazardního hraní, ve kterém se prolíná geografie (tedy prostorový pohled – přítomnost, koncentrace a dostupnost poboček hazardního hraní v rámci jednotlivých sídel a jejich percepce obyvateli), psychologie (participace na hazardních hrách, postoje k hazardnímu hraní a problémové hráčství). Na této bázi tak vznikl nový výzkumný tým složený z geografů a psychologů.
Zaměření: v rámci širokého spektra hazardních her, jsme se zaměřili na poněkud opomíjenou problematiku jejich soft forem, s tím, že nejprve jsme provedli rozsáhlou rešerši toho, jaké hry jsou optikou vědecké veřejnosti vnímány jako soft, tedy spojeny s menším rizikem vzniku problémového hráčství. Zaměřili jsme se také na to, jak tuto problematiku vnímá veřejnost a rovněž problémoví hráči v léčbě.
Výzkumné území: Jako pomyslná výzkumná "laboratoř" nám sloužila Česká republika, která má z hlediska hazardních her v Evropě zásadní postavení, ať už se to týká množství kasin na obyvatele, méně negativnímu postoji veřejnosti k hazardnímu hraní obecně, ale také jeho významné regulaci (ať již na státní či lokální úrovni). V případových studiích jsme se zaměřili na Olomoucký kraj, který z hlediska počtu provozoven různých forem hazardních her na obyvatele převyšuje ve všech aspektech průměr ČR.
Data: využívali jsme geograficky lokalizovaná data (geodata) o provozovnách a prodejnách hazardních her (uvedena v databázích Ministerstva financí či stránkách sázkových společností), dotazníková šetření (ať už v papírové nebo online formě) a také řízené rozhovory s hráči v léčbě. Takto byly realizovány tři kampaně:
- 1) výběrové šetření v rámci obyvatel Olomouckého kraje (červen 2023), kterého se zúčastnilo 2 724 respondentů z 277 (69 %) obcí, ležících v určeném regionu
- 2) reprezentativní šetření mezi pravidelnými dospělými hráči (realizováno agenturou STEM/MARK; listopad-prosinec 2023), kterého se zúčastnilo 4 313 respondentů (1 503 aktivních hráčů)
- 3) řízené rozhovory s hráči v léčbě (2025–2026), kdy bylo provedeno celkem 12 rozhovorů
Metody: kromě tradičních metod deskriptivní a inferenční statistiky pro vyhodnocení nasbíraných dat jsme využívali také:
- Prostorové analýzy v softwarech GIS (především QGIS) , ať už se jednalo o časovou dostupnost provozoven hazardních her, měření množství hazardních příležitostí v určeném regionu či sousedství nebo koncentrace provozoven na jednotku plochy či množství obyvatel.
- ATGS-8 zkrácená verze nástroje „Attitudes Towards Gambling Scale“, který slouží ke zjišťování postojů veřejnosti k hazardním hrám. Využívá se v řadě států světa (Austrálie, Velká Británie, Finsko) a obsahuje 8 výroků na které respondenti odpovídají pomocí 5 bodové Likertovy škály (od silně souhlasím, po silně nesouhlasím). Za jednotlivé odpovědi se respondentům nasčítávají body. Čím vyšší „skóre“ tím je postoj k hazardnímu hraní pozitivnější.
- PGSI short form je zkrácená verze psychometrického nástroje sloužící k měření závažnosti problémového hraní u jednotlivých osob. Obsahuje 3 otázky, na které respondenti odpovídají pomocí obodované čtyř stupňové škály (0 = nikdy až po 3 = téměř vždy).
Výsledky výzkumu
Výsledky jednotlivých výzkumů byly publikovány v odborných časopisech. Odpovědi na zásadní otázky, které jsme si v rámci jednotlivých studií pokládali, jsou shrnuty v následujících přehledech (pozn. kliknutí na otázku = shrnutí studie, kliknutí na obrázek časopisu = link na původní článek).
![]() |
|||
| Reklamní prostor během fotbalových přenosů v ČR | |||
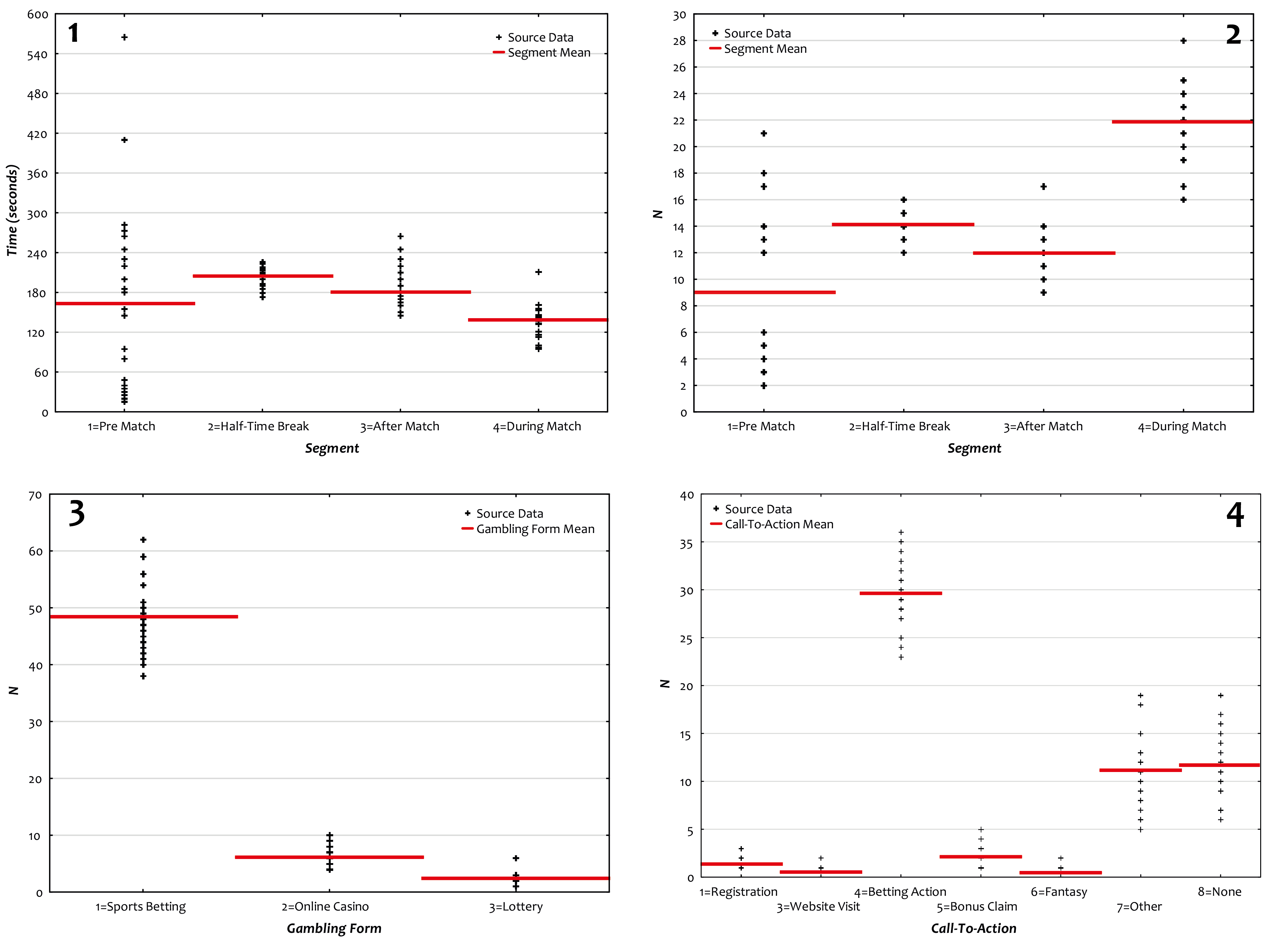
Reklamní prostor během fotbalových přenosů v České republice

Studie se zabývá reklamou na hazardní hry během fotbalových přenosů v České republice. Výzkum reaguje na geografické omezení dosavadní literatury, která se soustředí převážně na anglosaské země (zejména Velkou Británii a Austrálii). Cílem bylo zmapovat frekvenci, povahu a charakteristiky reklam na hazardní hry v přenosech české fotbalové ligy.
Metody:
Byla provedena obsahová analýza čtyř kol nejvyšší české fotbalové ligy (Chance liga) zahrnující 32 zápasů odehraných v srpnu a září 2025. Dva nezávislí kodéři analyzovali záznamy přenosů dostupné prostřednictvím platformy Oneplay. U každé reklamy byly systematicky zaznamenávány proměnné jako frekvence, délka, načasování, propagovaná forma hazardní hry, výzva k akci a přítomnost celebrit. Spolehlivost kódování byla ověřena mezikodérskou shodou (91,8 %), která překročila přijatelný práh 70 %.
Výsledky:
- Počet reklam a jejich celková délka: Celkem bylo zaznamenáno 1 824 reklam na hazardní hry, v průměru 57 reklam na zápas. Celková délka reklam dosáhla přibližně 6,1 hodiny, přičemž průměrný zápas obsahoval 11,5 minut reklamního obsahu.
- Struktura reklam: Dominovaly reklamy na kurzové sázky (85 %), následovaly online kasina (10,7 %) a loterie (4,3 %). Během živých přenosů pocházelo všech 700 reklam od jediného titulárního sponzora ligy. Celebrity se objevily ve 27 % reklam.
- Porovnání se zahraničím: Zjištěná frekvence je více než desetinásobně vyšší než hodnoty dokumentované v zahraničních studiích (průměr 4–5 reklam na zápas). Výsledky poukazují na potřebu regulace reklamy na hazardní hry ve sportovních přenosech v České republice.
odkaz na studii: Kovařík, F., Fiedor, D., & Sharman, S. (2026). This is ‘offside’: Gambling advertising during Czech football broadcasts. Journal of Behavioral Addictions, 2006-2025. https://doi.org/10.1556/2006.2025.00564
Prezentace na konferencích
- Current Advances in Gambling Research, Helsinki, FIN
27th – 29th May 2026
Publikace a data
Kovařík, F., Fiedor, D., Sharman, S. (2026): This is 'offside': Gambling advertising during Czech football broadcasts. Journal of Behavioral Addictions, doi: 10.1556/2006.2025.00564 [link]





